Nous Parlons Français

Titolo: “Nous Parlons Français: esploriamo la lingua e la cultura francese”
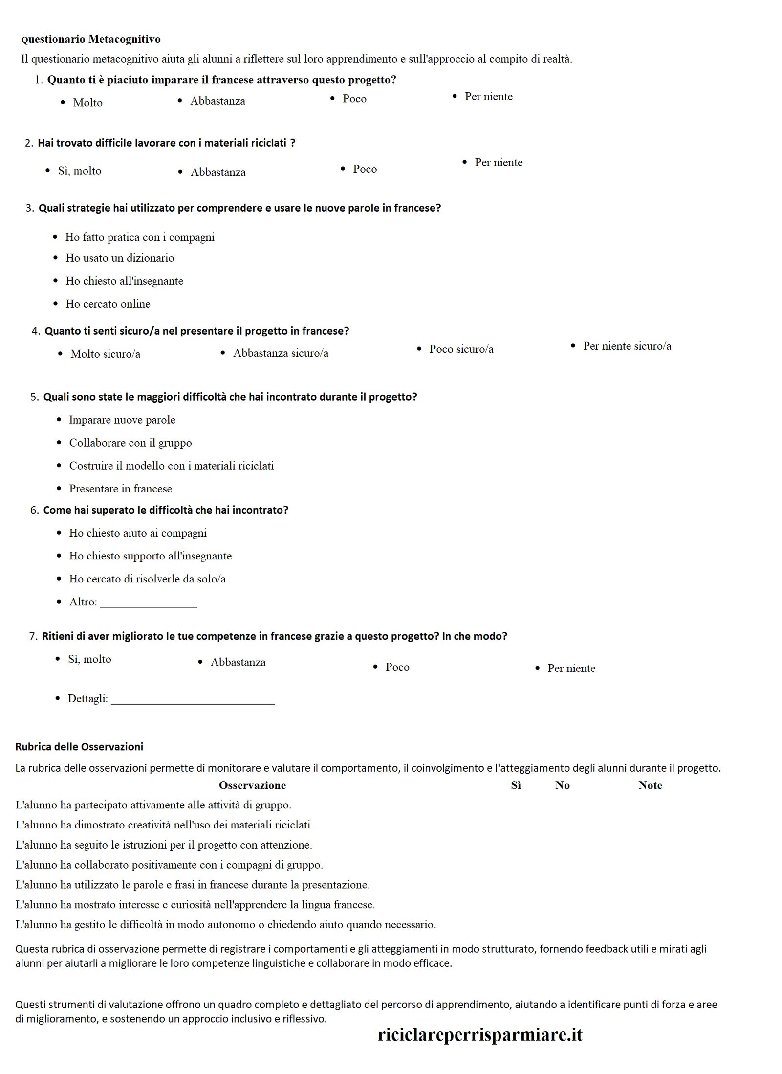
Introduzione al Compito di Realtà
Il compito di realtà “Nous Parlons Français” invita i bambini della Scuola Secondaria di I grado a esplorare la lingua e la cultura francese attraverso attività creative utilizzando materiali da riciclare. Questo progetto offre un’opportunità unica per i ragazzi di imparare il francese in modo divertente e coinvolgente, costruendo oggetti e materiali didattici come flashcard, poster, e mini-dialoghi scenografici. L’attività stimola la curiosità per le lingue straniere e incoraggia l’uso consapevole del riciclo, mostrando come i materiali di scarto possano diventare risorse educative preziose.

Situazione e Contesto
Gli alunni hanno già esplorato alcune basi del francese, come saluti, colori, numeri e nomi di oggetti comuni. In classe, è stato avviato un percorso di sensibilizzazione verso l’importanza dell’apprendimento delle lingue straniere e della sostenibilità ambientale. Ora è il momento di mettere in pratica ciò che hanno imparato, utilizzando materiali riciclati per creare strumenti didattici che li aiutino a migliorare la loro conoscenza della lingua francese.
Attività e Consegna Operativa
Gli alunni sono incaricati di creare una serie di strumenti didattici che aiutino nell’apprendimento del francese:
- Flashcard per vocabolario di base (oggetti, colori, numeri).
- Poster con frasi comuni e espressioni utili.
- Dialoghi scenografici rappresentati con pupazzi o personaggi costruiti con materiali riciclati.
Ogni gruppo dovrà presentare i propri lavori alla classe, utilizzando i materiali creati per insegnare ai compagni una nuova parola o frase in francese.
Modalità di Lavoro
- Destinatari: Alunni della Scuola Secondaria di I grado.
- Modalità di lavoro: Lavoro in piccoli gruppi per favorire la collaborazione e il dialogo.
- Tempi: 4-5 lezioni, ciascuna di circa 1 ora.
- Fasi di elaborazione del prodotto:
- Introduzione al progetto: Spiegazione degli obiettivi e divisione in gruppi.
- Pianificazione: Scelta degli oggetti da creare e assegnazione dei compiti all’interno del gruppo.
- Raccolta e preparazione dei materiali: Selezione e pulizia dei materiali da riciclare (cartone, bottiglie di plastica, vecchi giornali, ecc.).
- Creazione: Realizzazione dei flashcard, poster e personaggi per i dialoghi.
- Presentazione: Ogni gruppo presenta il proprio lavoro alla classe, insegnando ai compagni nuove parole o espressioni francesi.
- Discussione: Riflessione finale sulle sfide affrontate e sulle cose apprese durante il progetto.

Leggi https://schedescuola.it/poligoni/
Leggi anche https://riciclareperrisparmiare.it/scuola/compiti-di-realta-scuola/costruiamo-la-torre-eiffel/


Lascia un commento